找答案
考试指南
试卷
请在
下方输入
要搜索的题目:
搜 索
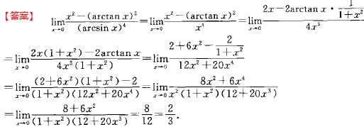
3.求极限limx-( arctan z)2arcsin x)
3.求极限limx-( arctan z)2arcsin x)
发布时间:
2025-08-14 05:05:16
首页
学习强国知识答题
推荐参考答案
(
由 专技宝 官方老师解答 )
答案:
相关试题
1.
3.求极限limx-( arctan z)2arcsin x)
2.
求极限1m√1 2sinx-x
3.
有以下程序#include
void main(){ int x=10,y=11,z=12;if( y< z )x=y; y=z; z=x;printf("x=%d y=%d z=%d
4.
七、(12分)求曲面z=-2- 21与平面z=围成立体体积
5.
若X, Y, Z相互独立,X~U[0, 6], Y~N(0, 4), Z~P(3), 则D(X-2Y-3Z)=
6.
2.求lime-(1 x)r-0工
7.
arctan ro√1-
8.
X 2. V 3. V 4( )
9.
设X的分布律为 P(X= -1)=0.5, P(X=0)=0.3, P(X=1)=0.2, 求 X平方( X^2) 的分布律 .
10.
guò jiē yào zǒu bān mǎ xiàn , jiāo tōng guī zé___ xīn jiān